Examples#

This is the gallery of examples that showcase how scikit-learn can be used. Some examples demonstrate the use of the API in general and some demonstrate specific applications in tutorial form. Also check out our user guide for more detailed illustrations.

Release Highlights#

These examples illustrate the main features of the releases of scikit-learn.

Release Highlights for scikit-learn 1.8

Release Highlights for scikit-learn 1.8

Release Highlights for scikit-learn 1.7

Release Highlights for scikit-learn 1.7

Release Highlights for scikit-learn 1.6

Release Highlights for scikit-learn 1.6

Release Highlights for scikit-learn 1.5

Release Highlights for scikit-learn 1.5

Release Highlights for scikit-learn 1.4

Release Highlights for scikit-learn 1.4

Release Highlights for scikit-learn 1.3

Release Highlights for scikit-learn 1.3

Release Highlights for scikit-learn 1.2

Release Highlights for scikit-learn 1.2

Release Highlights for scikit-learn 1.1

Release Highlights for scikit-learn 1.1

Release Highlights for scikit-learn 1.0

Release Highlights for scikit-learn 1.0

Release Highlights for scikit-learn 0.24

Release Highlights for scikit-learn 0.24

Release Highlights for scikit-learn 0.23

Release Highlights for scikit-learn 0.23

Release Highlights for scikit-learn 0.22

Release Highlights for scikit-learn 0.22

Biclustering#

Examples concerning biclustering techniques.

A demo of the Spectral Biclustering algorithm

A demo of the Spectral Biclustering algorithm

A demo of the Spectral Co-Clustering algorithm

A demo of the Spectral Co-Clustering algorithm

Biclustering documents with the Spectral Co-clustering algorithm

Biclustering documents with the Spectral Co-clustering algorithm

Calibration#

Examples illustrating the calibration of predicted probabilities of classifiers.

Comparison of Calibration of Classifiers

Comparison of Calibration of Classifiers

Probability Calibration curves

Probability Calibration curves

Probability Calibration for 3-class classification

Probability Calibration for 3-class classification

Probability calibration of classifiers

Probability calibration of classifiers

Classification#

General examples about classification algorithms.

Classifier comparison

Classifier comparison

Linear and Quadratic Discriminant Analysis with covariance ellipsoid

Linear and Quadratic Discriminant Analysis with covariance ellipsoid

Normal, Ledoit-Wolf and OAS Linear Discriminant Analysis for classification

Normal, Ledoit-Wolf and OAS Linear Discriminant Analysis for classification

Plot classification probability

Plot classification probability

Recognizing hand-written digits

Recognizing hand-written digits

Clustering#

Examples concerning the sklearn.cluster module.

A demo of K-Means clustering on the handwritten digits data

A demo of K-Means clustering on the handwritten digits data

A demo of structured Ward hierarchical clustering on an image of coins

A demo of structured Ward hierarchical clustering on an image of coins

A demo of the mean-shift clustering algorithm

A demo of the mean-shift clustering algorithm

Adjustment for chance in clustering performance evaluation

Adjustment for chance in clustering performance evaluation

Agglomerative clustering with different metrics

Agglomerative clustering with different metrics

An example of K-Means++ initialization

An example of K-Means++ initialization

Bisecting K-Means and Regular K-Means Performance Comparison

Bisecting K-Means and Regular K-Means Performance Comparison

Compare BIRCH and MiniBatchKMeans

Compare BIRCH and MiniBatchKMeans

Comparing different clustering algorithms on toy datasets

Comparing different clustering algorithms on toy datasets

Comparing different hierarchical linkage methods on toy datasets

Comparing different hierarchical linkage methods on toy datasets

Comparison of the K-Means and MiniBatchKMeans clustering algorithms

Comparison of the K-Means and MiniBatchKMeans clustering algorithms

Demo of DBSCAN clustering algorithm

Demo of DBSCAN clustering algorithm

Demo of HDBSCAN clustering algorithm

Demo of HDBSCAN clustering algorithm

Demo of OPTICS clustering algorithm

Demo of OPTICS clustering algorithm

Demo of affinity propagation clustering algorithm

Demo of affinity propagation clustering algorithm

Demonstration of k-means assumptions

Demonstration of k-means assumptions

Empirical evaluation of the impact of k-means initialization

Empirical evaluation of the impact of k-means initialization

Feature agglomeration

Feature agglomeration

Feature agglomeration vs. univariate selection

Feature agglomeration vs. univariate selection

Hierarchical clustering with and without structure

Hierarchical clustering with and without structure

Inductive Clustering

Inductive Clustering

Online learning of a dictionary of parts of faces

Online learning of a dictionary of parts of faces

Plot Hierarchical Clustering Dendrogram

Plot Hierarchical Clustering Dendrogram

Segmenting the picture of greek coins in regions

Segmenting the picture of greek coins in regions

Selecting the number of clusters with silhouette analysis on KMeans clustering

Selecting the number of clusters with silhouette analysis on KMeans clustering

Spectral clustering for image segmentation

Spectral clustering for image segmentation

Various Agglomerative Clustering on a 2D embedding of digits

Various Agglomerative Clustering on a 2D embedding of digits

Vector Quantization Example

Vector Quantization Example

Covariance estimation#

Examples concerning the sklearn.covariance module.

Ledoit-Wolf vs OAS estimation

Ledoit-Wolf vs OAS estimation

Robust covariance estimation and Mahalanobis distances relevance

Robust covariance estimation and Mahalanobis distances relevance

Robust vs Empirical covariance estimate

Robust vs Empirical covariance estimate

Shrinkage covariance estimation: LedoitWolf vs OAS and max-likelihood

Shrinkage covariance estimation: LedoitWolf vs OAS and max-likelihood

Sparse inverse covariance estimation

Sparse inverse covariance estimation

Cross decomposition#

Examples concerning the sklearn.cross_decomposition module.

Compare cross decomposition methods

Compare cross decomposition methods

Principal Component Regression vs Partial Least Squares Regression

Principal Component Regression vs Partial Least Squares Regression

Dataset examples#

Examples concerning the sklearn.datasets module.

Plot randomly generated multilabel dataset

Plot randomly generated multilabel dataset

Decision Trees#

Examples concerning the sklearn.tree module.

Decision Tree Regression

Decision Tree Regression

Plot the decision surface of decision trees trained on the iris dataset

Plot the decision surface of decision trees trained on the iris dataset

Post pruning decision trees with cost complexity pruning

Post pruning decision trees with cost complexity pruning

Understanding the decision tree structure

Understanding the decision tree structure

Decomposition#

Examples concerning the sklearn.decomposition module.

Blind source separation using FastICA

Blind source separation using FastICA

Comparison of LDA and PCA 2D projection of Iris dataset

Comparison of LDA and PCA 2D projection of Iris dataset

Faces dataset decompositions

Faces dataset decompositions

Factor Analysis (with rotation) to visualize patterns

Factor Analysis (with rotation) to visualize patterns

FastICA on 2D point clouds

FastICA on 2D point clouds

Image denoising using dictionary learning

Image denoising using dictionary learning

Incremental PCA

Incremental PCA

Kernel PCA

Kernel PCA

Model selection with Probabilistic PCA and Factor Analysis (FA)

Model selection with Probabilistic PCA and Factor Analysis (FA)

Principal Component Analysis (PCA) on Iris Dataset

Principal Component Analysis (PCA) on Iris Dataset

Sparse coding with a precomputed dictionary

Sparse coding with a precomputed dictionary

Developing Estimators#

Examples concerning the development of Custom Estimator.

__sklearn_is_fitted__ as Developer API

__sklearn_is_fitted__ as Developer API

Ensemble methods#

Examples concerning the sklearn.ensemble module.

Categorical Feature Support in Gradient Boosting

Categorical Feature Support in Gradient Boosting

Combine predictors using stacking

Combine predictors using stacking

Comparing Random Forests and Histogram Gradient Boosting models

Comparing Random Forests and Histogram Gradient Boosting models

Comparing random forests and the multi-output meta estimator

Comparing random forests and the multi-output meta estimator

Decision Tree Regression with AdaBoost

Decision Tree Regression with AdaBoost

Early stopping in Gradient Boosting

Early stopping in Gradient Boosting

Feature importances with a forest of trees

Feature importances with a forest of trees

Feature transformations with ensembles of trees

Feature transformations with ensembles of trees

Features in Histogram Gradient Boosting Trees

Features in Histogram Gradient Boosting Trees

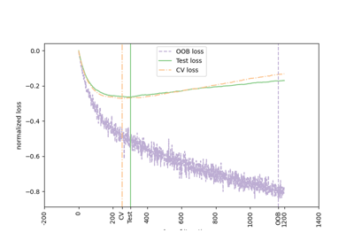
Gradient Boosting Out-of-Bag estimates

Gradient Boosting Out-of-Bag estimates

Gradient Boosting regression

Gradient Boosting regression

Gradient Boosting regularization

Gradient Boosting regularization

Hashing feature transformation using Totally Random Trees

Hashing feature transformation using Totally Random Trees

IsolationForest example

IsolationForest example

Monotonic Constraints

Monotonic Constraints

Multi-class AdaBoosted Decision Trees

Multi-class AdaBoosted Decision Trees

OOB Errors for Random Forests

OOB Errors for Random Forests

Plot individual and voting regression predictions

Plot individual and voting regression predictions

Plot the decision surfaces of ensembles of trees on the iris dataset

Plot the decision surfaces of ensembles of trees on the iris dataset

Prediction Intervals for Gradient Boosting Regression

Prediction Intervals for Gradient Boosting Regression

Single estimator versus bagging: bias-variance decomposition

Single estimator versus bagging: bias-variance decomposition

Two-class AdaBoost

Two-class AdaBoost

Visualizing the probabilistic predictions of a VotingClassifier

Visualizing the probabilistic predictions of a VotingClassifier

Examples based on real world datasets#

Applications to real world problems with some medium sized datasets or interactive user interface.

Compressive sensing: tomography reconstruction with L1 prior (Lasso)

Compressive sensing: tomography reconstruction with L1 prior (Lasso)

Faces recognition example using eigenfaces and SVMs

Faces recognition example using eigenfaces and SVMs

Image denoising using kernel PCA

Image denoising using kernel PCA

Lagged features for time series forecasting

Lagged features for time series forecasting

Model Complexity Influence

Model Complexity Influence

Out-of-core classification of text documents

Out-of-core classification of text documents

Outlier detection on a real data set

Outlier detection on a real data set

Prediction Latency

Prediction Latency

Species distribution modeling

Species distribution modeling

Time-related feature engineering

Time-related feature engineering

Topic extraction with Non-negative Matrix Factorization and Latent Dirichlet Allocation

Topic extraction with Non-negative Matrix Factorization and Latent Dirichlet Allocation

Visualizing the stock market structure

Visualizing the stock market structure

Wikipedia principal eigenvector

Wikipedia principal eigenvector

Feature Selection#

Examples concerning the sklearn.feature_selection module.

Comparison of F-test and mutual information

Comparison of F-test and mutual information

Model-based and sequential feature selection

Model-based and sequential feature selection

Pipeline ANOVA SVM

Pipeline ANOVA SVM

Recursive feature elimination

Recursive feature elimination

Recursive feature elimination with cross-validation

Recursive feature elimination with cross-validation

Univariate Feature Selection

Univariate Feature Selection

Frozen Estimators#

Examples concerning the sklearn.frozen module.

Examples of Using FrozenEstimator

Examples of Using FrozenEstimator

Gaussian Mixture Models#

Examples concerning the sklearn.mixture module.

Concentration Prior Type Analysis of Variation Bayesian Gaussian Mixture

Concentration Prior Type Analysis of Variation Bayesian Gaussian Mixture

Density Estimation for a Gaussian mixture

Density Estimation for a Gaussian mixture

GMM Initialization Methods

GMM Initialization Methods

GMM covariances

GMM covariances

Gaussian Mixture Model Ellipsoids

Gaussian Mixture Model Ellipsoids

Gaussian Mixture Model Selection

Gaussian Mixture Model Selection

Gaussian Mixture Model Sine Curve

Gaussian Mixture Model Sine Curve

Gaussian Process for Machine Learning#

Examples concerning the sklearn.gaussian_process module.

Ability of Gaussian process regression (GPR) to estimate data noise-level

Ability of Gaussian process regression (GPR) to estimate data noise-level

Comparison of kernel ridge and Gaussian process regression

Comparison of kernel ridge and Gaussian process regression

Forecasting of CO2 level on Mona Loa dataset using Gaussian process regression (GPR)

Forecasting of CO2 level on Mona Loa dataset using Gaussian process regression (GPR)

Gaussian Processes regression: basic introductory example

Gaussian Processes regression: basic introductory example

Gaussian process classification (GPC) on iris dataset

Gaussian process classification (GPC) on iris dataset

Gaussian processes on discrete data structures

Gaussian processes on discrete data structures

Illustration of Gaussian process classification (GPC) on the XOR dataset

Illustration of Gaussian process classification (GPC) on the XOR dataset

Illustration of prior and posterior Gaussian process for different kernels

Illustration of prior and posterior Gaussian process for different kernels

Iso-probability lines for Gaussian Processes classification (GPC)

Iso-probability lines for Gaussian Processes classification (GPC)

Probabilistic predictions with Gaussian process classification (GPC)

Probabilistic predictions with Gaussian process classification (GPC)

Generalized Linear Models#

Examples concerning the sklearn.linear_model module.

Comparing Linear Bayesian Regressors

Comparing Linear Bayesian Regressors

Curve Fitting with Bayesian Ridge Regression

Curve Fitting with Bayesian Ridge Regression

Decision Boundaries of Multinomial and One-vs-Rest Logistic Regression

Decision Boundaries of Multinomial and One-vs-Rest Logistic Regression

Early stopping of Stochastic Gradient Descent

Early stopping of Stochastic Gradient Descent

Fitting an Elastic Net with a precomputed Gram Matrix and Weighted Samples

Fitting an Elastic Net with a precomputed Gram Matrix and Weighted Samples

HuberRegressor vs Ridge on dataset with strong outliers

HuberRegressor vs Ridge on dataset with strong outliers

Joint feature selection with multi-task Lasso

Joint feature selection with multi-task Lasso

L1 Penalty and Sparsity in Logistic Regression

L1 Penalty and Sparsity in Logistic Regression

L1-based models for Sparse Signals

L1-based models for Sparse Signals

Lasso model selection via information criteria

Lasso model selection via information criteria

Lasso model selection: AIC-BIC / cross-validation

Lasso model selection: AIC-BIC / cross-validation

Lasso on dense and sparse data

Lasso on dense and sparse data

Lasso, Lasso-LARS, and Elastic Net paths

Lasso, Lasso-LARS, and Elastic Net paths

MNIST classification using multinomial logistic + L1

MNIST classification using multinomial logistic + L1

Multiclass sparse logistic regression on 20newgroups

Multiclass sparse logistic regression on 20newgroups

Non-negative least squares

Non-negative least squares

One-Class SVM versus One-Class SVM using Stochastic Gradient Descent

One-Class SVM versus One-Class SVM using Stochastic Gradient Descent

Ordinary Least Squares and Ridge Regression

Ordinary Least Squares and Ridge Regression

Orthogonal Matching Pursuit

Orthogonal Matching Pursuit

Plot Ridge coefficients as a function of the regularization

Plot Ridge coefficients as a function of the regularization

Plot multi-class SGD on the iris dataset

Plot multi-class SGD on the iris dataset

Poisson regression and non-normal loss

Poisson regression and non-normal loss

Polynomial and Spline interpolation

Polynomial and Spline interpolation

Quantile regression

Quantile regression

Regularization path of L1- Logistic Regression

Regularization path of L1- Logistic Regression

Ridge coefficients as a function of the L2 Regularization

Ridge coefficients as a function of the L2 Regularization

Robust linear estimator fitting

Robust linear estimator fitting

Robust linear model estimation using RANSAC

Robust linear model estimation using RANSAC

SGD: Maximum margin separating hyperplane

SGD: Maximum margin separating hyperplane

SGD: Penalties

SGD: Penalties

SGD: Weighted samples

SGD: Weighted samples

SGD: convex loss functions

SGD: convex loss functions

Theil-Sen Regression

Theil-Sen Regression

Tweedie regression on insurance claims

Tweedie regression on insurance claims

Inspection#

Examples related to the sklearn.inspection module.

Common pitfalls in the interpretation of coefficients of linear models

Common pitfalls in the interpretation of coefficients of linear models

Failure of Machine Learning to infer causal effects

Failure of Machine Learning to infer causal effects

Partial Dependence and Individual Conditional Expectation Plots

Partial Dependence and Individual Conditional Expectation Plots

Permutation Importance vs Random Forest Feature Importance (MDI)

Permutation Importance vs Random Forest Feature Importance (MDI)

Permutation Importance with Multicollinear or Correlated Features

Permutation Importance with Multicollinear or Correlated Features

Kernel Approximation#

Examples concerning the sklearn.kernel_approximation module.

Scalable learning with polynomial kernel approximation

Scalable learning with polynomial kernel approximation

Manifold learning#

Examples concerning the sklearn.manifold module.

Comparison of Manifold Learning methods

Comparison of Manifold Learning methods

Manifold Learning methods on a severed sphere

Manifold Learning methods on a severed sphere

Manifold learning on handwritten digits: Locally Linear Embedding, Isomap…

Manifold learning on handwritten digits: Locally Linear Embedding, Isomap...

Multi-dimensional scaling

Multi-dimensional scaling

Swiss Roll And Swiss-Hole Reduction

Swiss Roll And Swiss-Hole Reduction

t-SNE: The effect of various perplexity values on the shape

t-SNE: The effect of various perplexity values on the shape

Miscellaneous#

Miscellaneous and introductory examples for scikit-learn.

Advanced Plotting With Partial Dependence

Advanced Plotting With Partial Dependence

Comparing anomaly detection algorithms for outlier detection on toy datasets

Comparing anomaly detection algorithms for outlier detection on toy datasets

Comparison of kernel ridge regression and SVR

Comparison of kernel ridge regression and SVR

Displaying Pipelines

Displaying Pipelines

Displaying estimators and complex pipelines

Displaying estimators and complex pipelines

Evaluation of outlier detection estimators

Evaluation of outlier detection estimators

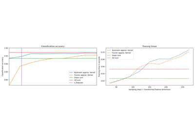
Explicit feature map approximation for RBF kernels

Explicit feature map approximation for RBF kernels

Face completion with a multi-output estimators

Face completion with a multi-output estimators

Introducing the set_output API

Introducing the set_output API

Isotonic Regression

Isotonic Regression

Metadata Routing

Metadata Routing

Multilabel classification

Multilabel classification

ROC Curve with Visualization API

ROC Curve with Visualization API

The Johnson-Lindenstrauss bound for embedding with random projections

The Johnson-Lindenstrauss bound for embedding with random projections

Visualizations with Display Objects

Visualizations with Display Objects

Missing Value Imputation#

Examples concerning the sklearn.impute module.

Imputing missing values before building an estimator

Imputing missing values before building an estimator

Imputing missing values with variants of IterativeImputer

Imputing missing values with variants of IterativeImputer

Model Selection#

Examples related to the sklearn.model_selection module.

Balance model complexity and cross-validated score

Balance model complexity and cross-validated score

Class Likelihood Ratios to measure classification performance

Class Likelihood Ratios to measure classification performance

Comparing randomized search and grid search for hyperparameter estimation

Comparing randomized search and grid search for hyperparameter estimation

Comparison between grid search and successive halving

Comparison between grid search and successive halving

Custom refit strategy of a grid search with cross-validation

Custom refit strategy of a grid search with cross-validation

Demonstration of multi-metric evaluation on cross_val_score and GridSearchCV

Demonstration of multi-metric evaluation on cross_val_score and GridSearchCV

Detection error tradeoff (DET) curve

Detection error tradeoff (DET) curve

Effect of model regularization on training and test error

Effect of model regularization on training and test error

Evaluate the performance of a classifier with Confusion Matrix

Evaluate the performance of a classifier with Confusion Matrix

Multiclass Receiver Operating Characteristic (ROC)

Multiclass Receiver Operating Characteristic (ROC)

Nested versus non-nested cross-validation

Nested versus non-nested cross-validation

Plotting Cross-Validated Predictions

Plotting Cross-Validated Predictions

Plotting Learning Curves and Checking Models’ Scalability

Plotting Learning Curves and Checking Models' Scalability

Post-hoc tuning the cut-off point of decision function

Post-hoc tuning the cut-off point of decision function

Post-tuning the decision threshold for cost-sensitive learning

Post-tuning the decision threshold for cost-sensitive learning

Precision-Recall

Precision-Recall

Receiver Operating Characteristic (ROC) with cross validation

Receiver Operating Characteristic (ROC) with cross validation

Sample pipeline for text feature extraction and evaluation

Sample pipeline for text feature extraction and evaluation

Statistical comparison of models using grid search

Statistical comparison of models using grid search

Successive Halving Iterations

Successive Halving Iterations

Test with permutations the significance of a classification score

Test with permutations the significance of a classification score

Underfitting vs. Overfitting

Underfitting vs. Overfitting

Visualizing cross-validation behavior in scikit-learn

Visualizing cross-validation behavior in scikit-learn

Multiclass methods#

Examples concerning the sklearn.multiclass module.

Overview of multiclass training meta-estimators

Overview of multiclass training meta-estimators

Multioutput methods#

Examples concerning the sklearn.multioutput module.

Multilabel classification using a classifier chain

Multilabel classification using a classifier chain

Nearest Neighbors#

Examples concerning the sklearn.neighbors module.

Approximate nearest neighbors in TSNE

Approximate nearest neighbors in TSNE

Caching nearest neighbors

Caching nearest neighbors

Comparing Nearest Neighbors with and without Neighborhood Components Analysis

Comparing Nearest Neighbors with and without Neighborhood Components Analysis

Dimensionality Reduction with Neighborhood Components Analysis

Dimensionality Reduction with Neighborhood Components Analysis

Kernel Density Estimate of Species Distributions

Kernel Density Estimate of Species Distributions

Kernel Density Estimation

Kernel Density Estimation

Nearest Centroid Classification

Nearest Centroid Classification

Nearest Neighbors Classification

Nearest Neighbors Classification

Nearest Neighbors regression

Nearest Neighbors regression

Neighborhood Components Analysis Illustration

Neighborhood Components Analysis Illustration

Novelty detection with Local Outlier Factor (LOF)

Novelty detection with Local Outlier Factor (LOF)

Outlier detection with Local Outlier Factor (LOF)

Outlier detection with Local Outlier Factor (LOF)

Simple 1D Kernel Density Estimation

Simple 1D Kernel Density Estimation

Neural Networks#

Examples concerning the sklearn.neural_network module.

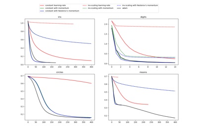
Compare Stochastic learning strategies for MLPClassifier

Compare Stochastic learning strategies for MLPClassifier

Restricted Boltzmann Machine features for digit classification

Restricted Boltzmann Machine features for digit classification

Varying regularization in Multi-layer Perceptron

Varying regularization in Multi-layer Perceptron

Visualization of MLP weights on MNIST

Visualization of MLP weights on MNIST

Pipelines and composite estimators#

Examples of how to compose transformers and pipelines from other estimators. See the User Guide.

Column Transformer with Heterogeneous Data Sources

Column Transformer with Heterogeneous Data Sources

Column Transformer with Mixed Types

Column Transformer with Mixed Types

Concatenating multiple feature extraction methods

Concatenating multiple feature extraction methods

Effect of transforming the targets in regression model

Effect of transforming the targets in regression model

Pipelining: chaining a PCA and a logistic regression

Pipelining: chaining a PCA and a logistic regression

Selecting dimensionality reduction with Pipeline and GridSearchCV

Selecting dimensionality reduction with Pipeline and GridSearchCV

Preprocessing#

Examples concerning the sklearn.preprocessing module.

Compare the effect of different scalers on data with outliers

Compare the effect of different scalers on data with outliers

Comparing Target Encoder with Other Encoders

Comparing Target Encoder with Other Encoders

Demonstrating the different strategies of KBinsDiscretizer

Demonstrating the different strategies of KBinsDiscretizer

Feature discretization

Feature discretization

Importance of Feature Scaling

Importance of Feature Scaling

Map data to a normal distribution

Map data to a normal distribution

Target Encoder’s Internal Cross fitting

Target Encoder's Internal Cross fitting

Using KBinsDiscretizer to discretize continuous features

Using KBinsDiscretizer to discretize continuous features

Semi Supervised Classification#

Examples concerning the sklearn.semi_supervised module.

Decision boundary of semi-supervised classifiers versus SVM on the Iris dataset

Decision boundary of semi-supervised classifiers versus SVM on the Iris dataset

Effect of varying threshold for self-training

Effect of varying threshold for self-training

Label Propagation circles: Learning a complex structure

Label Propagation circles: Learning a complex structure

Label Propagation digits: Active learning

Label Propagation digits: Active learning

Label Propagation digits: Demonstrating performance

Label Propagation digits: Demonstrating performance

Semi-supervised Classification on a Text Dataset

Semi-supervised Classification on a Text Dataset

Support Vector Machines#

Examples concerning the sklearn.svm module.

One-class SVM with non-linear kernel (RBF)

One-class SVM with non-linear kernel (RBF)

Plot classification boundaries with different SVM Kernels

Plot classification boundaries with different SVM Kernels

Plot different SVM classifiers in the iris dataset

Plot different SVM classifiers in the iris dataset

Plot the support vectors in LinearSVC

Plot the support vectors in LinearSVC

RBF SVM parameters

RBF SVM parameters

SVM Margins Example

SVM Margins Example

SVM Tie Breaking Example

SVM Tie Breaking Example

SVM with custom kernel

SVM with custom kernel

SVM-Anova: SVM with univariate feature selection

SVM-Anova: SVM with univariate feature selection

SVM: Maximum margin separating hyperplane

SVM: Maximum margin separating hyperplane

SVM: Separating hyperplane for unbalanced classes

SVM: Separating hyperplane for unbalanced classes

SVM: Weighted samples

SVM: Weighted samples

Scaling the regularization parameter for SVCs

Scaling the regularization parameter for SVCs

Support Vector Regression (SVR) using linear and non-linear kernels

Support Vector Regression (SVR) using linear and non-linear kernels

Working with text documents#

Examples concerning the sklearn.feature_extraction.text module.

Classification of text documents using sparse features

Classification of text documents using sparse features

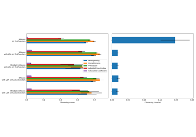
Clustering text documents using k-means

Clustering text documents using k-means

FeatureHasher and DictVectorizer Comparison

FeatureHasher and DictVectorizer Comparison

Gallery generated by Sphinx-Gallery